CAS No. 40623-75-4
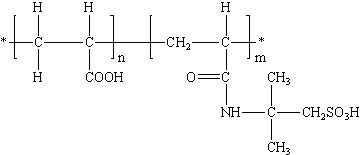
Structural Formula:

Properties:
AA/AMPS is the copolymer of
acrylic acid and 2-acrylanmido-2-methylpropanesulfonic acid. Due to including carboxylic group (scale inhibition
and dispersion) and sulfonic acid group (strong polarity) in
this copolymer,
AA/AMPS
has high calcium tolerance and good scale inhibition for
calcium phosphate, calcium carbonate and zinc scale. When
built with organophosphines, the synergic effect is obvious.
AA/AMPS is suitable to
be used in water quality of high pH and high alkaline, it is one of the ideal scale inhibitors and dispersants on high concentration index.
Specification:
| Items |
Index |
| Appearance |
Colorless to light yellow viscous liquid |
Colorless to light yellow viscous liquid |
| Solid content % |
30.0
min |
40.0
min |
| Free monomer (as
AA)%
|
0.50
max |
0.50
max |
| Density (20℃)g/cm3 |
1.10
min |
1.15
min |
| pH(1% water
solution) |
3.0 max |
3.5-4.5 |
Usage:
AA/AMPS
can be used as scale inhibitor and dispersant in open
circulating cool water system, oilfield refill water
system, metallurgy system and iron & steel plants to
prevent sediment of ferric oxide. When built with
organophosphorines and zinc salt, the suitable pH value
is 7.0~9.5.
AA/AMPS can also be
used as dyeing auxiliaries for textile.
Package and Storage:
AA/AMPS liquid: 200L plastic drum,IBC(1000L),customers’ requirement.
AA/AMPS solid: 20kg/bag, customers‘ requirement.
Storage for twelve months in shady room and dry place.
Synonyms:
AA-AMPS;
AA-AMPSA;
Acrylic
Acid-2-Acrylamido-2-Methylpropane Sulfonic Acid
Copolymer;
Sulfonated Polyacrylic Acid
Copolymer;